Muchos atletas se preguntan cómo combinar de la mejor manera posible el entrenamiento de cardio y el entrenamiento de fuerza y la gran mayoría lo hacen de manera incorrecta. En este artículo desgranamos la base científica con los últimos estudios para que no pierdas fuerza y masa muscular.
Una de las razones principales por las que se busca combinar estos dos tipos de entrenamiento es la pérdida de grasa corporal. Los estudios apuntan que hay una disminución drástica de la grasa corporal cuando ambos se combinan. Es mucho más efectivo que hacer sólo cardio o entrenamiento de fuerza.
Otra de las razones importantes es el rendimiento. La mayoría de los deportes de equipo requieren acciones explosivas (fuerza) y mantenerlas durante el tiempo que dura el partido o la competición (resistencia). Por ello, es básico encontrar un equilibrio entre ambos para poder competir.
EFECTOS DEL CARDIO EN LA FUERZA, LA POTENCIA Y LA MASA MUSCULAR
Cuando combinas cardio y entrenamiento de fuerza, la velocidad de ganancia de fuerza disminuye, aunque hay formas de combinarlos que minimizan esta interferencia.
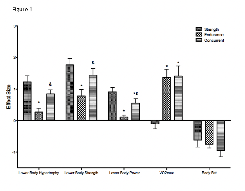
En un metaanálisis reciente (revisión de la investigación de todos los estudios relevantes) los investigadores determinaron que la fuerza de la parte superior del cuerpo y el tamaño muscular se vieron menos afectados al combinar el levantamiento de pesas con cardio, pero las medidas de fuerza, tamaño y potencia de la parte inferior del cuerpo disminuyeron (1).

El eje vertical se etiqueta como el tamaño del efecto, que se define como una medida de la fuerza estadística entre dos variables. Cuanto mayor sea el tamaño del efecto, más fuerte será la relación.
En el gráfico se puede observar que el entrenamiento de resistencia o cardio tiene poco o ningún efecto en el aumento de cualquier medida del tamaño muscular, la fuerza o la potencia del tren inferior. También es reseñable que el entrenamiento de fuerza es superior al entrenamiento combinado para ganar fuerza.
El V02 max es superior en el entrenamiento combinado que además, es el que produce la mayor pérdida de grasa.
ENTRENAMIENTO DE CARDIO Y FUERZA: DURACIÓN DE LA SESIÓN

Como se puede observar en el gráfico, cuando realizas sesiones de cardio con una duración mayor de 60 minutos por día, casi no hay aumento apreciable en la fuerza, la potencia o el tamaño muscular (hipertrofia).
Para mantener la fuerza y el tamaño muscular se recomienda limitar la duración de las sesiones a 30 minutos por día.
ENTRENAMIENTO DE CARDIO Y FUERZA: SESIONES POR SEMANA
Observando el gráfico, se puede destacar que cuantos más días pases haciendo cardio, mayor será el impacto que tendrá en la fuerza, la potencia y el tamaño muscular (1).

Nota: En el cambio de 4 días a 5 en la hipertrofia podría haber algunos estudios que sesgaran los resultados haciendo sólo cuatro días de cardio.
Interpretando el gráfico, el punto óptimo sería 3 días a la semana.
Por lo tanto, para combinar cardio con el entrenamiento de fuerza, lo ideal serían tres sesiones de cardio por semana con una duración de 30 minutos como máximo.
ENTRENAMIENTO DE CARDIO Y FUERZA: TIPO DE ENTRENAMIENTO DE CARDIO
¿Qué entrenamiento de cardio es el más adecuado para no disminuir la ganancia de fuerza muscular?
El gráfico muestra que correr junto con el entrenamiento de fuerza causa la mayor reducción en la fuerza, la hipertrofia y la potencia de la parte inferior del cuerpo. El ciclismo tiene un efecto de interferencia mucho menor, pero aún así ralentiza la velocidad de ganancia de fuerza y el aumento muscular.
Por otro lado, correr es el entrenamiento de cardio que permite perder mayor cantidad de grasa. El ciclismo, en cambio, no pierde más grasa que el entrenamiento de fuerza. Para perder grasa corporal, correr es una buena opción (1).

La pérdida de grasa corporal también varía en función de la frecuencia cardíaca.

El gráfico muestra un considerable aumento en la pérdida de grasa para el entrenamiento de resistencia por encima del 80% de la frecuencia cardíaca máxima. Para la mayoría de los atletas, corresponde al intervalo de 145-155 latidos por minuto. Hace referencia al cambio de resistencia aeróbica a resistencia anaeróbica (1).
ENTRENAMIENTO DE CARDIO Y FUERZA: ¿CARDIO A BAJA O ALTA INTENSIDAD?
Esta es una pregunta clave para los atletas que compiten en fitness funcional. Para responderla nos basaremos en un estudio que compara el entrenamiento de fuerza con HIIT (Tabata) y el entrenamiento de fuerza con entrenamiento de resistencia continuo de intensidad moderada (2).
Los atletas eran jugadores de rugby y hockey sobre hielo profesionales que habían entrenado fuerza durante años. Todos podían hacer sentadillas con más de 1,5 veces su peso corporal. La mitad de los atletas hicieron 6 semanas de entrenamiento combinado, 3 veces por semana, con un ejercicio de sentadilla pesada y cardio de intensidad moderada durante 40-80 min por semana. La otra mitad realizó la misma sentadilla y un Tabata (HITT) de varios bloques.
El aumento de fuerza en la sentadilla fue igual para los dos entrenamientos. Sin embargo, el único grupo que aumentó el VO2 máximo fue el grupo HIIT que además, también aumentó una pequeña cantidad de masa muscular magra, mientras que el grupo de cardio de intensidad moderada no lo hizo.
ENTRENAMIENTO DE CARDIO Y FUERZA: TIEMPO DE RECUPERACIÓN
El tiempo de recuperación es un aspecto básico para planificar un programa de entrenamiento efectivo. Separar lo máximo posible el cardio de la fuerza, reduce el efecto que tiene el cardio sobre la fuerza, la potencia y el tamaño muscular.
Cuando hay 24 horas de separación la interferencia es mínima. Podría parecer una buena opción alternar los días de entrenamiento pero entrenar fuerza sólo 3 días por semana no es lo más adecuado.
Un tiempo de recuperación razonable es separar una sesión de cardio de una sesión de fuerza un mínimo de 6 horas. Por ello, se programan sesiones de entrenamiento por la mañana y por la tarde.
Por último, cuando un atleta entrena cardio y fuerza en la misma sesión, es recomendable realizar el trabajo de fuerza primero y el entrenamiento de cardio después.
RESUMEN
Para los atletas que necesitan resistencia diseñaríamos una programación de tres sesiones por semana con una duración menor de 30 minutos. De las tres sesiones, dos serían HIIT (alta intensidad) y una sesión de intensidad moderada.
La programación del entrenamiento de fuerza sería de 4-6 sesiones por semana con un día de descanso completo. Es recomendable en los ejercicios de fuerza entrenar dos veces por semana los grupos musculares principales.
Por ejemplo, una programación de tres sesiones de cardio y cinco sesiones de entrenamiento de fuerza.

Bibliografia
